1D Manholes

From Tuflow
Jump to navigation Jump to search

Page Under Construction



Introduction

Manholes are typically chambers used to provide one or all of the following; maintenance access, change in culvert direction, connections and change in culvert dimensions. By default, manholes are automatically created within TUFLOW at all conduit nodes, any manually created manhole will override the automatically created manhole.

Manholes are used at conduit junctions to dissipate energy due to:

  • Expansion/contraction of flow within the manhole chamber and outlet conduits.
  • Change in direction of the conduits (i.e. a bend/deflection).
  • Change in height, width or diameter and/or invert level of the adjoining conduits.


The presence of a manhole at a junction point will override the exit loss of any conduit discharging into the manhole and entrance loss of any conduit taking from our of the manhole.

There are 3 types of manholes which can be specified in the 1d_mh_* layer:

  • "C" for circular chambers.
  • "R" for rectangular chambers.
  • "J" for junctions without a chamber


Manhole Losses

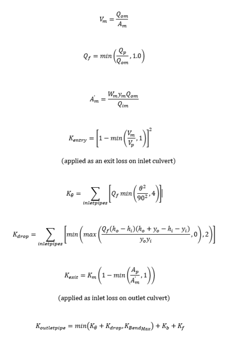
When modelling conduit pipe flows, the head losses that the flow in pipe are subject to are made up of major losses (or friction losses) and minor losses (or local losses). Major losses are caused by forces between the flow and wetted perimeter of the conduit. Minor losses are caused by disruption to the flow due to bends, cross-sectional changes, fittings such as manholes and steps in the bed profile. Major losses are represented through the specification of a friction coefficient. The representation of minor losses, particularly for gravity networks, is at manholes and requires separate treatment. The default TUFLOW/Estry manhole loss approach uses the Engelund method explained in section 5.12.5.4 of the TUFLOW user manual although it is also possible to use a more simplified fixed manhole headloss approach too using the global Manhole Default Loss Approach command or specifying within the '1d_mH_*' layer in the Loss_Approach attribute. The Engelund approach provides an automatic method for determining the loss coefficients as presented below. Of note is that the coefficients are recalculated every timestep, and therefore vary depending on the flow distribution between inlet and outlet conduits and the depth of water within the manhole. The losses represented are as follows:

  • Kentry covers the expansion of flow within the manhole at the outlet of an inlet conduit. The coefficient is applied as the exit loss of the inlet conduit.
  • KƟ represents the losses due to a change in direction (i.e. a bend) between inlet and outlet conduits. KƟ is determined automatically by TUFLOW based on the angle of the digitised lines of the conduits. For the inlet conduit the last two vertices of the line are used and for the outlet conduit the first two vertices.
  • Kdrop is the loss coefficient due to a change in invert level and conduit height between inlet and outlet conduits.
  • KƟ and Kdrop are added and applied as an energy loss for each outlet conduit.
  • Kexit covers the contraction from the manhole and re-expansion of flow within the entrance of an outlet conduit. It is applied as an entrance loss of the outlet.
  • Km is the user-defined manhole exit coefficient. The resulting headloss value is then applied, when sub-critical flow is experienced, to the standard head loss equation, i.e. dh = K*V2/2g. Where K is the loss coefficient, V is the conduit velocity and g the gravitational constant. The equations used for the Engelund loss approach are provided below:

    Where:
    Qp = Flow in Conduit
    Qim = Total flow into manhole
    Qom = Total flow out of manhole
    yi = Height of inlet conduit
    yo = Height of outlet conduit
    hi = Inlet conduit invert
    ho = Outlet Conduit invert
    θ = Angle in degrees of inlet conduit relative to outlet conduit(θ = 0° "when the culverts are in line," θ=90° when the outlet culvert is at right angles)
    Qp = Flow in conduit outlet
    Wm = Flow width in manhole (1d_mh width attribute)
    ym = Depth of water in manhole
    Am = Flow are in manhole
    A'm = Effective flow are in manhole
    Ap = Flow area of conduit
    Km = Manhole Loss Parameter (1d_mh Km attribute)
    Kb = Bend Loss Coefficient (1d_nwk Form_loss attribute)
    Kf = Fixed Loss (1d_mh K_Fixed attribute)
    KBendmax = Upper limit to sum of Kθ and Kdrop (1d_mh K_Bend_Max attribute)

    There are three worked examples of the application of the Engelund method applied to a simple model for the following scenarios at the following pages:
  • Single Incoming/Outgoing Pipe with no angle and no drop
  • Single Incoming/Outgoing Pipe with incoming bend and drop in levels
  • Multiple Incoming Pipes with incoming bend and drop in levels In the case of the fixed headloss approach, the 1d_mh_* K_Fixed attribute is applied to the standard head loss equation, i.e. dh = K*V2/2g on the outlet conduit(s).

    Storage chambers

    Storage, including shaft storage, storage chambers or floodplain storage, can be manually defined using a 1d_na (1d_tab_empty) node that has an assigned elevation versus surface area table. For the purpose of this page, manmade storage chambers have been discussed although the method is the same for all applications.

    An example of a chamber:

    www.humes.com.au


    Methodology

    • Import 1d_na node.
    • Assign the name of the elevation vs area csv.
    • Specify the names for the elevation and surface area columns



    storage_chamber.csv


    For more information on storage nodes see Section 5.10.3 Storage Nodes (User Defined NA Tables) within the TUFLOW manual.


    Any further questions please email TUFLOW support: support@tuflow.com

    Back to 1D Hydraulic Structures