Green-Ampt Infiltration Parameters

From Tuflow
Jump to navigation Jump to search

Introduction

TUFLOW provides several methods for modelling infiltration from the 2D surface into the sub-surface, including Green-Ampt, Horton, and Initial Loss/Continuing Loss. These methods are used to simulate hydrological losses, particularly when rainfall is applied directly to the 2D surface and runoff is generated.

The choice of infiltration method and its parameters is an important calibration factor and should be adjusted to match observed flow data. This is especially relevant for whole of catchment modelling, where infiltration is the main way hydrological losses are represented. This page describes the Green-Ampt infiltration parameters and their sensitivity.

Green-Ampt Infiltration

The Green-Ampt approach varies the rate of infiltration over time based on the soil’s hydraulic conductivity, suction, porosity and initial moisture content. The method assumes that as water begins to infiltrate the soil, a line is developed differentiating between the ‘dry’ soil with moisture content θi and the ‘wet’ soil (with moisture content equal to the porosity of the soil η). As the infiltrated water continues to move through the soil profile in a vertical direction, the soil moisture changes instantly from the initial content to a saturated state. This concept is shown schematically in Figure 1.

Note: The Green-Ampt approach is appropriate for simulating single rainfall events where evapotranspiration and gravity-driven drainage are not significant. The 2023-03 release introduced functionality in TUFLOW HPC to allow for horizontal movement of soil water, enabling long-term simulations with multiple rainfall events. To support this, a change was implemented in the Green-Ampt equation to account for changing initial soil moisture and cumulative infiltration over time. For further details, see Section 7.3.7.1.1 Green-Ampt (GA) in the TUFLOW Manual.

Figure 1 Green-Ampt Model Concept

Figure 1 Green-Ampt Model Concept
Figure courtesy of University of Texas


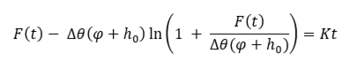
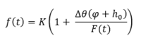
The basic form of the Green-Ampt equation is expressed as follows:


Where:

t is time
K is the saturated hydraulic conductivity
θ is defined as the soil capacity (the difference between the saturated and initial moisture content)
φ is the soil suction head
h0 is the depth of ponded water
F(t) is the cumulative infiltration calculated from:



United States Department of Agriculture (USDA) soil types have been hardwired into TUFLOW and are presented in Table 1 along with the soil parameters. Alternatively, it is possible to define a customised soil type by specifying user defined values within the tsoilf.

Table 1 USDA Soil types for the Green-Ampt Infiltration Method (from Rawls, W, J, Brakesiek & Miller, N, 1983, ‘Green-Ampt infiltration parameters from soils data’, Journal of Hydraulic Engineering, vol 109, 62-71.)

USDA Soil Type Suction (mm) Hydraulic Conductivity (mm/hr) Porosity (Fraction)
Clay 316.3 0.3 0.385
Silty Clay 292.2 0.5 0.423
Sandy Clay 239 0.6 0.321
Clay Loam 208.8 1 0.309
Silty Clay Loam 273 1 0.432
Sandy Clay Loam 218.5 1.5 0.33
Silt Loam 166.8 3.4 0.486
Loam 88.9 7.6 0.434
Sandy Loam 110.1 10.9 0.412
Loamy Sand 61.3 29.9 0.401
Sand 49.5 117.8 0.417


Table 2 presents summary statistics for the Green-Ampt USDA Parameters and typical values. This provides a good indication of the typical ranges of the Green-Ampt parameter values.

Table 2 USDA Summary Statistics for all Soil types for the Green-Ampt Infiltration Method

Stat Suction (mm) Hydraulic Conductivity (mm/hr) Porosity (Fraction)
Min 49.5 0.3 0.31
Max 316.3 117.8 0.49
Mean 184.04 15.86 0.4
SD 94.82 34.92 0.05


In order to help those undertaking real world calibration of TUFLOW models to observed data, a sensitivity analysis of the various parameters have been undertaken to show the effect of each Green-Ampt parameter in isolation. The comparison has been undertaken on a real-world whole catchment model of the Plynlimon catchment in mid-Wales. The model was run with a real rainfall event from 2015 with a temporal resolution of 30 minutes as shown in Figure 2.

Figure 2: Plynlimon Rainfall

Figure 2: Plynlimon Rainfall

For the purposes of this sensitivity analysis of the parameters, a single soil type was used representing the general clay soil types that are present.

Green-Ampt Infiltration: User Parameters

Where the inbuilt USDA soil types are not used, the user can specify their own values for the Suction, Hydraulic Conductivity, Porosity and Initial Soil Moisture. What follows is a description of each parameter and the sensitivity to a low, medium and high value based on the USDA soil type summary values.

Capillary Suction Head

The suction head, represented in millimeters, is the capillary attraction on the soil voids. It is large for fine grain soils such as clays and smaller for sandy soils. To test the sensitivity of the simulated runoff at a gauged location, a low (49.5mm), mid representing the mean (184.4mm) and high (316.3mm) value of the suction head parameter were used with other parameters representing a clay soil (soil type 1).
The larger the value of the capillary suction head, the more capillary action that is achieved and the amount of infiltration that takes place. This is shown by the increase in cumulative infiltration in the graph below with a greater cumulative infiltration for the increase in the suction head.

Figure 3: Sensitivity of cumulative infiltration in the Plynlimon Gwy catchment to the Capillary Suction Head parameter in the Green-Ampt infiltration model.

Figure 3: Sensitivity of cumulative infiltration in the Plynlimon Gwy catchment to the Capillary Suction Head parameter in the Green-Ampt infiltration model.

As a consequence of this, there is a less runoff generated as shown in Figure 4. As can be seen, the model is not particularly sensitive to the suction head parameter and this fits with observations made within the literature from other similar studies.

Figure 4: Sensitivity of simulated flow at the Cefn-Brwn gauge location in the Plynlimon Gwy catchment to the Suction head parameter in the Green-Ampt infiltration model.

Figure 4: Sensitivity of simulated flow at the Cefn-Brwn gauge location in the Plynlimon Gwy catchment to the Suction head parameter in the Green-Ampt infiltration model.

It can also be seen that the higher the suction head value that the longer it takes the hydrograph to start rising, with the high suction head scenario less responsive to the rainfall.

Saturated Hydraulic Conductivity

The saturated hydraulic conductivity, measured in millimetres per hour, represents how easily water can travel through soil when fully saturated. In the Horton infiltration model, this value corresponds to the limiting infiltration rate. Hydraulic conductivity is typically high for sandy soils and low for compact clays.

In the sensitivity testing, the focus was on clay soils, which generally have low conductivity values. Three scenarios were initially tested: low (0.3 mm/hr), mid (15.86 mm/hr), and high (117.8 mm/hr). However, the mid and high values resulted in such high infiltration that no surface runoff was produced, leading to zero simulated flow at the downstream gauge location. As expected, increasing hydraulic conductivity leads to more infiltration and less runoff, a relationship well documented in Green-Ampt-based infiltration modelling.

To improve the analysis, it is recommended that the model be rerun using a refined range of lower conductivity values that still allow some runoff, such as 0.3, 1.0, 3.4, and 7.6 mm/hr. This would provide a more meaningful understanding of the parameter sensitivity while preserving realistic surface runoff behaviour.

Figure 5: Sensitivity of simulated flow at the Cefn-Brwn gauge location in the Plynlimon Gwy catchment to the Saturated Hydraulic Conductivity parameter in the Green-Ampt infiltration model when using a clay soil type.

Figure 5: Sensitivity of simulated flow at the Cefn-Brwn gauge location in the Plynlimon Gwy catchment to the Saturated Hydraulic Conductivity parameter in the Green-Ampt infiltration model when using a clay soil type.

Figure 6: Sensitivity of cumulative infiltration in the Plynlimon Gwy catchment to the Saturated Hydraulic Conductivity parameter in the Green-Ampt infiltration model.

Figure 6: Sensitivity of cumulative infiltration in the Plynlimon Gwy catchment to the Saturated Hydraulic Conductivity parameter in the Green-Ampt infiltration model.

Porosity

The porosity value represents the volume of dry voids per volume of soil and provides the maximum moisture deficit that is available, the difference between the moisture content at saturation and at the start of the simulation. Sandy soils tend to have lower porosities than clay soils, but drain to lower moisture contents between rainfall events because water is not held as strongly in the soil pores. Therefore, values of porosity tend to be higher for sandy soils when compared to clay soils. As shown in figure 7, the higher the porosity value, then the less runoff that is generated due to increased infiltration although the model is not particular sensitive to the porosity value.

Figure 7: Sensitivity of simulated flow at the Cefn-Brwn gauge location in the Plynlimon Gwy catchment to the porosity parameter in the Green-Ampt infiltration model.

Figure 7: Sensitivity of simulated flow at the Cefn-Brwn gauge location in the Plynlimon Gwy catchment to the porosity parameter in the Green-Ampt infiltration model.

Figure 8: Sensitivity of cumulative infiltration in the Plynlimon Gwy catchment to the porosity parameter in the Green-Ampt infiltration model.

Figure 8: Sensitivity of cumulative infiltration in the Plynlimon Gwy catchment to the porosity parameter in the Green-Ampt infiltration model.

Initial Moisture

The initial moisture value represents the fraction of the soil that is initially wet. As both initial moisture and porosity are expressed as fractions, the soil capacity is defined as the difference between them both. As such, the initial moisture should not exceed the porosity otherwise soil capacity will be set to zero with no infiltration occurring for that soil type. A 2508 WARNING is issued if this is the case.

In pre-2023 releases of TUFLOW, a single variable storage capacity was calculated by subtracting the initial moisture fraction from the porosity, in order to reduce memory requirements. However, in TUFLOW releases 2023 and onwards, the soil porosity and initial moisture must be stored separately to allow the soil to drain correctly when using the interflow functionality. This updated approach requires that a soil thickness be specified to calculate the soil depth. If a soil thickness is not specified when using the updated approach, an infinite soil depth is assumed for each layer and therefore different initial moisture fractions no longer have an effect on modelled results. These two approaches can generate different results when using the Green-Ampt method.

The three initial moisture sensitivity tests have been undertaken with the Green-Ampt method using both a pre-2023 release of TUFLOW and a post-2023 release of TUFLOW. Figure 9 shows how variations in the initial moisture affect the simulated cumulative infiltration, whereas Figures 10 and 11 show the effects of varying the initial moisture on flows at the catchment outlet when using the pre-2023 and post-2023 releases of TUFLOW. As the initial moisture is increased at the beginning of your simulation, there is less infiltration (as you are closer to soil capacity) and more runoff, causing the catchment outflows to exhibit a faster response to rainfall upstream. As the event progresses, soils become more saturated and the influence of the initial moisture parameter becomes less significant. In the examples shown here, the catchment outflows, as visible in Figures 10 and 11, show a higher responsiveness to variations in initial moisture at the beginning of the simulations, and attain higher peak values, when using the post-2023 TUFLOW releases.

Figure 9: Sensitivity of cumulative infiltration in the Plynlimon Gwy catchment to the initial moisture parameter in the Green-Ampt infiltration model.
Figure 9: Sensitivity of cumulative infiltration in the Plynlimon Gwy catchment to the initial moisture parameter in the Green-Ampt infiltration model.
Figure 10: Sensitivity of simulated flow at the Cefn-Brwn gauge location in the Plynlimon Gwy catchment to the initial moisture parameter in the Green-Ampt infiltration model in pre-2023 release of TUFLOW.
Figure 10: Sensitivity of simulated flow at the Cefn-Brwn gauge location in the Plynlimon Gwy catchment to the initial moisture parameter in the Green-Ampt infiltration model in pre-2023 release of TUFLOW. Figure 11: Sensitivity of simulated flow at the Cefn-Brwn gauge location in the Plynlimon Gwy catchment to the initial moisture parameter in the Green-Ampt infiltration model in post-2023 release of TUFLOW.
Figure 11: Sensitivity of simulated flow at the Cefn-Brwn gauge location in the Plynlimon Gwy catchment to the initial moisture parameter in the Green-Ampt infiltration model in post-2023 release of TUFLOW.

Max Ponding Depth

The max ponding depth value is an optional value that can be used, if desired, to set a limit for the depth of ponded water (h0) value used in the Green-Ampt equation. The minimum of the water depth and the max ponding depth value is used as the h0 value. The default max ponding depth value is 0, to be consistent with the basic form of the Green-Ampt equation, as hydrology models do not necessarily have a depth calculated at cells.

This means, if using a max ponding depth (>0), infiltration rates will increase.

In built USDA soil type

The model was also run with the default in-build USDA soil types. Figure 12 shows the outputs. As expected the higher the soil type, then typically the more the infiltration and the lower the produced runoff. Soils 8-11, which represent sandy soils do not show any runoff in this example as the rainfall applied directly to the mesh is all infiltrated.

Figure 12: Sensitivity of simulated flow at the Cefn-Brwn gauge location in the Plynlimon Gwy catchment to the USDA soil type parameter in the Green-Ampt infiltration model.
Figure 12: Sensitivity of simulated flow at the Cefn-Brwn gauge location in the Plynlimon Gwy catchment to the USDA soil type parameter in the Green-Ampt infiltration model.

Summary

The Green-Ampt infiltration model is one of the infiltration methods available within TUFLOW. There is extensive literature on its application, including suggested parameter values for various soil types, though these are mostly based on soils in the United States.

Three main Green-Ampt parameters have been tested to assess the sensitivity of model outputs to parameter values and variations in initial soil moisture. The results show that the model is relatively insensitive to the porosity and suction head parameters. However, outputs show significant variations in runoff volume in response to changes in hydraulic conductivity.

As part of any calibration process, it is recommended that hydraulic conductivity and initial moisture content be prioritised during calibration. Hydraulic conductivity influences runoff volume throughout the event, while initial soil moisture mainly affects the early part of the simulation until soils become saturated and results converge.

Acknowledgements

The Plynlimon model contains data supplied by Natural Environment Research Council. The Plynlimon observed rain gauge and flow data was provided by the Centre of Hydrology, Bangor. The model uses LiDAR data which is public sector information licensed under the Open Government Licence v3.0.